100%
시험 미리보기
※ 창 좌우폭을 줄이시면 모바일 사이즈 응답창을 보실 수 있습니다
※ 문항 무작위화는 미리보기 화면에서 제공되지 않습니다.

해당 시험의 출처는 인사혁신처 사이버국가 고시 센터(https://www.gosi.kr/)에 있습니다.

사용 시 출처를 꼭 표기해주시기 바랍니다.

1

저급언어에 해당하는 프로그래밍 언어는?

2

중앙처리장치(CPU)의 구성 요소로만 묶은 것은?

2.PNG

3

다음에서 설명하는 네트워크 구조는?

3.PNG

4

다음에서 설명하는 객체지향 프로그래밍의 특징은?

4.PNG

5

하나의 프로세스가 CPU를 할당받은 후에는, 스스로 CPU를 반납할 때까지 다른 프로세스가 CPU를 차지할 수 없도록 하는 스케줄링 기법에 해당하는 것만을 모두 고르면?

5.PNG

6

프로그램 내장 방식에 대한 설명으로 옳지 않은 것은?

7

CISC(Complex Instruction Set Computer)와 RISC(Reduced Instruction Set Computer)에 대한 설명으로 옳지 않은 것은?

8

릴레이션 R = {A, B, C, D, E}이 함수적 종속성들의 집합 FD={A→C, {A, B}→D, D→E, {A, B}→E}를 만족할 때, R이 속할 수 있는 가장 높은 차수의 정규형으로 옳은 것은? (단, 기본키는 복합속성 {A, B}이고, 릴레이션 R의 속성 값은 더 이상 분해될 수 없는 원자 값으로만 구성된다)

9

인터넷의 전송 계층에서 사용하는 프로토콜로 TCP와 UDP가 있다. TCP와 UDP 모두에서 제공하지 않는 기능은?

10

유비쿼터스를 응용한 컴퓨팅 기술에 대한 설명으로 옳지 않은 것은?

11

컴퓨터 명령어 처리 시 필요한 유효 주소(Effective Address)를 찾기 위한 주소 지정 방식에 대한 설명으로 옳지 않은 것은?

12

컴퓨터 시스템에서 교착상태의 해결 방안에 대한 설명으로 옳지 않은 것은?

13

다음 Java 프로그램은 3의 배수를 제외한 1부터 10까지 정수의 누적 합이 10을 초과하는 최초 시점에서의 합을 출력하는 프로그램이다. ㉠과 ㉡에 들어가는 내용으로 적절한 것은?

13.PNG

14

다음과 같은 압축되지 않은 비트맵 형식의 이미지를 RLE(Run Length Encoding) 방식을 이용하여 압축했을 때 압축률이 가장 작은 것은? (단, 모든 이미지의 가로와 세로의 길이는 동일하고, 가로 방향 우선으로 픽셀을 읽어 처리한다)

15

다중 스레드(Multithread)에 대한 설명으로 옳은 것만을 모두 고르면?

15.PNG

16

구매 방법에 따른 소프트웨어 분류에 대한 설명으로 옳은 것은?

17

프로세스 상태 전이에서 준비(Ready) 상태로 전이되는 상황만을 모두 고르면? (단, 동일한 우선순위의 프로세스가 준비 상태로 한 개 이상 대기하고 있다)

17.PNG

18

CSMA/CD(Carrier Sense Multiple Access with Collision Detection)에 대한 설명으로 옳은 것만을 고르면?

18.PNG

19

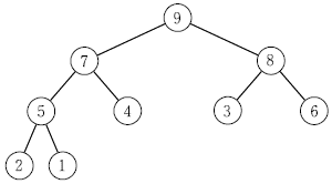
최대 히프 트리(Heap Tree)로 옳은 것은?

20

다음 식과 논리적으로 같은 것은?


20.PNG

다른 브라우저를 사용해 보세요.

현재 접속하신 브라우저는 지원하지 않는 브라우저입니다. 아래 브라우저의 최신 버전을 이용해 주시기 바랍니다.
아래의 아이콘을 클릭하면 해당 브라우저의 설치 화면으로 이동합니다.