100%
시험 미리보기
※ 창 좌우폭을 줄이시면 모바일 사이즈 응답창을 보실 수 있습니다
※ 문항 무작위화는 미리보기 화면에서 제공되지 않습니다.

1

연립방정식 { x - (y-4)/3 =4, 3/5 x - y/3 = 2/3 } 의 해가 x= a , y= b 일 때, a-b 의 값은?

2

구리가 90% 포함된 합금 A와 구리가 50% 포함된 합금 B 를 섞어서 구리가 60% 포함된 합금을 40kg 만들려고 한다. 이때, 합금 A를 몇 kg를 섞어야 하는가?

3

다음 연립방정식을 푸시오.


{ x= y-5, x-2y= 7}

4

다음 연립방정식 중에서 x=-1, y= 2를 해로 갖는 것은?

5

다음 두 조건을 만족하는 x , y 에 대하여 x+y 의 값을 구하면?


․ x 의 2 배와 y 의 합은 10 이다.

․ y 는 x 의 3 배와 같다.

6

영민이가 집에서 2.5 km 떨어진 상점에 가는데, 시속 4 km 로 걷다가 시속 6 km 로 뛰어서 35 분이 걸렸다. 이때, 뛰어간 거리는 몇 km인가?

7

연립방정식 { x+2y=5, -2x-3ay=1} 이 해를 갖지 않을 때, a의 값은?

8

다음을 만족시키는 두 자리 자연수를 구하여라.


십의 자리의 숫자가 x , 일의 자리의 숫자가 y 인 두 자리 자연수가 있다. 십의 자리의 숫 자와 일의 자리의 숫자의 합은 6 이고, 십의 자 리의 숫자와 일의 자리의 숫자를 바꾸면 처음 수보다 36 만큼 크다.

9

다음 일차방정식을 만족시키는 모든 해가 ax+b y= 2 를 만족시킬 때, 상수 a , b 에 대하여 ab 의 값을 구하여라.


(x-3)/4 + (5-y)/2 = 1

10

다음 표는 어떤 공장에서 제품 Ⅰ, Ⅱ를 각각 1kg씩 만 드는 데 필요한 원료 A , B 의 양과 제품 1kg당 이익 을 나타낸 것이다. 원료 A 47g 과 원료 B 30g 을 모 두 사용하여 제품 Ⅰ, Ⅱ를 만들었을 때, 총이익을 구하여라.

2020-10-15_203104.PNG

11

연립방정식 { y= 3x-a, 9x+5y= a} 의 해가 ( 1, b ) 일 때, a-b 의 값을 구하여라. (단, a 는 상수)

12

연립방정식 { (x-3),4 = (2 y+1)/3, 5 x+4=2 ( y-x)+1} 의 해를 x=a , y =b 라 할 때, ab 의 값을 구하여라.

13

연립방정식 { x+2y= 1, 3 x+6 y= 3} 의 해는?

14

동생이 집을 나선 지 20 분 후에 형이 동생을 따라나섰 다. 동생은 분속 80m 로, 형은 분속 120m 로 걸어갈 때, 형은 출발한 지 몇 분 후에 동생과 만나게 되는지 구하여라.

15

민아네와 솔비네 가족이 동물원에 놀러갔는데 민아네 가족의 입장료는 6200 원, 솔비네 가족의 입장료는 5300 원이었다. 어른의 입장료는 민아네 가족이 솔비네 가족의 2 배이고, 어린이의 입장료는 솔비네 가족이 민아네 가족보다 1100 원이 많았다. 민아네 가족 중 어른이 2 명이라고 할 때, 이 동물원의 어른 1 명의 입장료는?

16

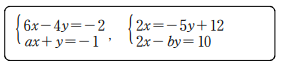
다음 두 연립방정식의 해가 같을 때, 두 상수 a , b 의 값을 각각 구하여라.


2020-10-15_205240.PNG

17

연립방정식 { -x+2y= 5, (a+3)x+3y=b} 의 해가 없도록 하는 두 상수 a , b 의 조건은?

18

학생 수가 35 명인 학급에서 남학생의 2/5 와 여학생의 1/3 이 안경을 꼈다. 안경을 낀 학생의 수는 모두 13 명일 때, 이 학급의 남학생의 수를 구하여라.

19

농도가 7% 인 설탕물과 4% 인 설탕물을 섞어서 5% 인 설탕물 300 g 을 만들었다. 이때, 농도가 7% 인 설탕물은 몇 g인가?

20

x , y 에 관한 일차방정식 ax+y-3= 0 의 한 해가 ( 2, 5) 일 때, a의 값을 구하여라.

다른 브라우저를 사용해 보세요.

현재 접속하신 브라우저는 지원하지 않는 브라우저입니다. 아래 브라우저의 최신 버전을 이용해 주시기 바랍니다.
아래의 아이콘을 클릭하면 해당 브라우저의 설치 화면으로 이동합니다.